SPIKE PROTEIN ACTIVATION OF LINE-1 RETROTRANSPOSONS
AND ITS RELATION TO SUDDEN CARDIAC DEATH
Most individuals who die from sudden cardiac death are old and they invariably suffer from atherosclerotic disease. Do not let anyone tell you otherwise. They lie.
Young individuals under 60 (yes, under 60 is young these days, considering most lived to only 30 before the modern era) who die of sudden cardiac death, until very recently, were a very rare breed.
And that word, breed, is intentionally used as young sudden cardiac deaths have previously been due to inherited genetic causes.
First, please read the following cases carefully. I am certain they will all sound familiar to you.
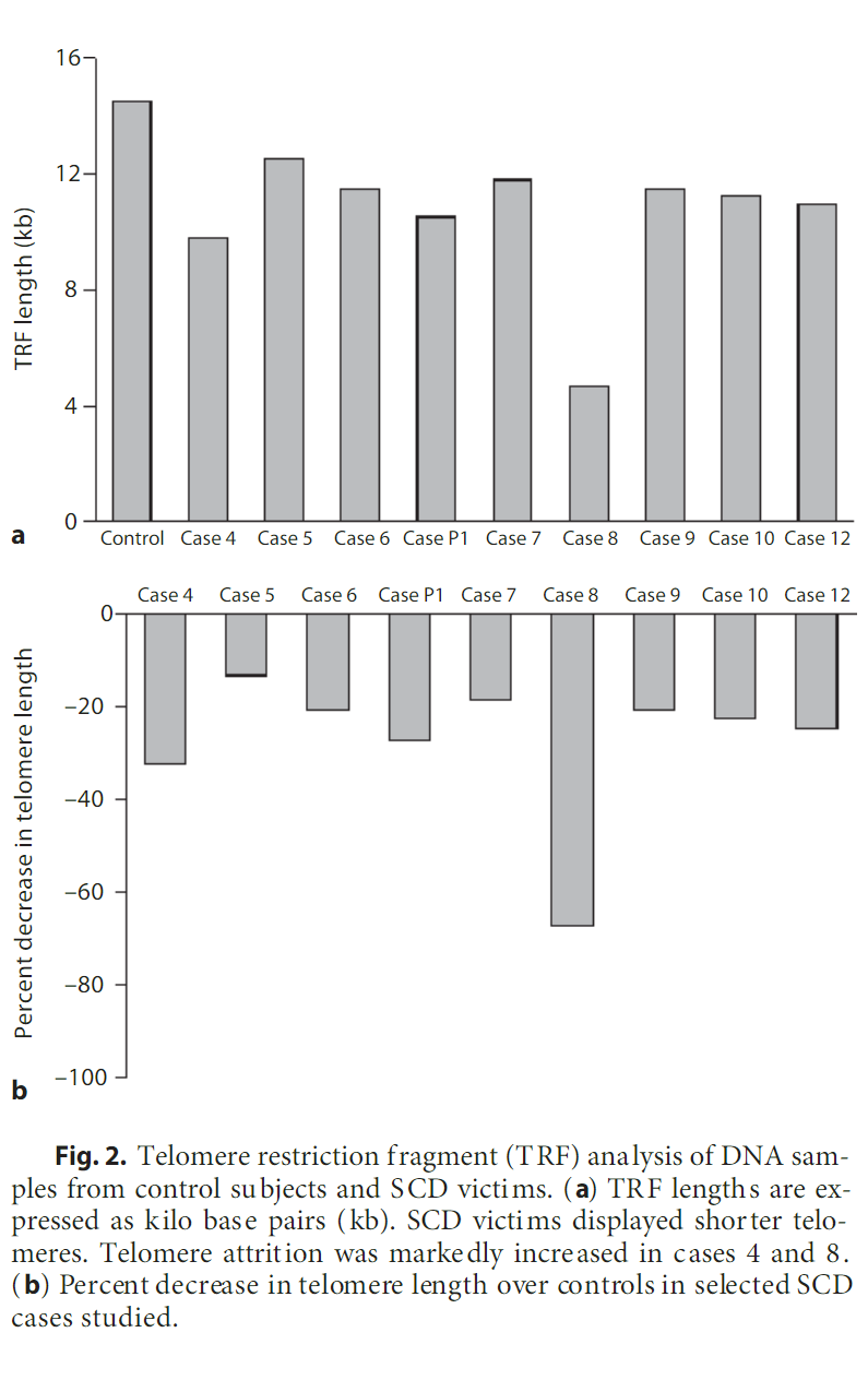
Case 1: A 25 year old very fit male Indian service personnel who collapsed and died after completing a 5 km road run in good time.
Case 2: A 33 year old Chinese man who collapsed on bed after breathing heavily and shivering.
Case 3: A 20 year old Chinese male who was medically fit and moderately obese. He collapsed and died while undergoing basic military training for obese recruits (30 m short of completing a 2.4 km run).
Case 4: A 33 year old Thai man who died while boarding the bus.
Case 5: A 12 year old female Korean who had fever and diarrhea for two days and did not seek any medical treatment. She woke up from sleep with stomachache and was subsequently conveyed to a major general hospital where she died 3 h 12 min later.
Case 6: A 24 year old Chinese man who died while engaging in sports activity.
Case P1: A 15 year old Caucasian boy. He had a vague history of cold two weeks before death and died while he was asleep.
So, what ties all these cases together? Copies of genes (too many or too few) and short telomeres. Specifically, copies of genes related to ion channels.
Ion channels, in short, control the rhythm of the heart. Controlled by genetic expression, too active or not active enough, and the heart “short circuits” and you instantly die. These are tightly regulated by the body, and in almost all of our bodies (until know) these channels simply work as they should. Like the orbits of planets around the sun.
But, the Spike Protein is like a Neutron Star entering our solar system. It disrupts this eternally balanced dance – with lethal consequences.
The Spike Protein activates retrotransposons. These are jumping genes. Think of them as gremlins that randomly cut and paste your genes throughout the document of your DNA. If the ion channel genes are cut and/or pasted, you are much more likely to die of sudden cardiac death. The spike is unrelenting. As long as COVID or other ways of Spike to enter the body exist (ahem) your jumping genes will be activated, and these mutations can occur.
It may be that the oxidative stress from the spike protein alone causes the telomere shortening. It is tempting to speculate that telomere shortening resulting from oxidative stress in cardiac tissues might cause accelerated ageing of these cells by inducing apoptosis in the associated cells.
This is why the connection is so difficult to identify. It has an element of what gamers call RNG – Random Number Generation. Theoretically, it is fascinating. Practically, it is evil.
Please read the referenced papers.
Referenced/Related Papers
https://journals.plos.org/plosgenetics/article?id=10.1371/journal.pgen.1003242
https://phys.org/news/2022-01-sars-cov-spike-protein-human-endogenous.html

