Friday Hope: Curcumin - The Wonder Polyphenol: A Multifaceted Potential Spike/SPED Therapeutic
Anti-Amyloid, Pro-Endothelial, Protects Cardiac Mitochondria from Catecholamine Damage
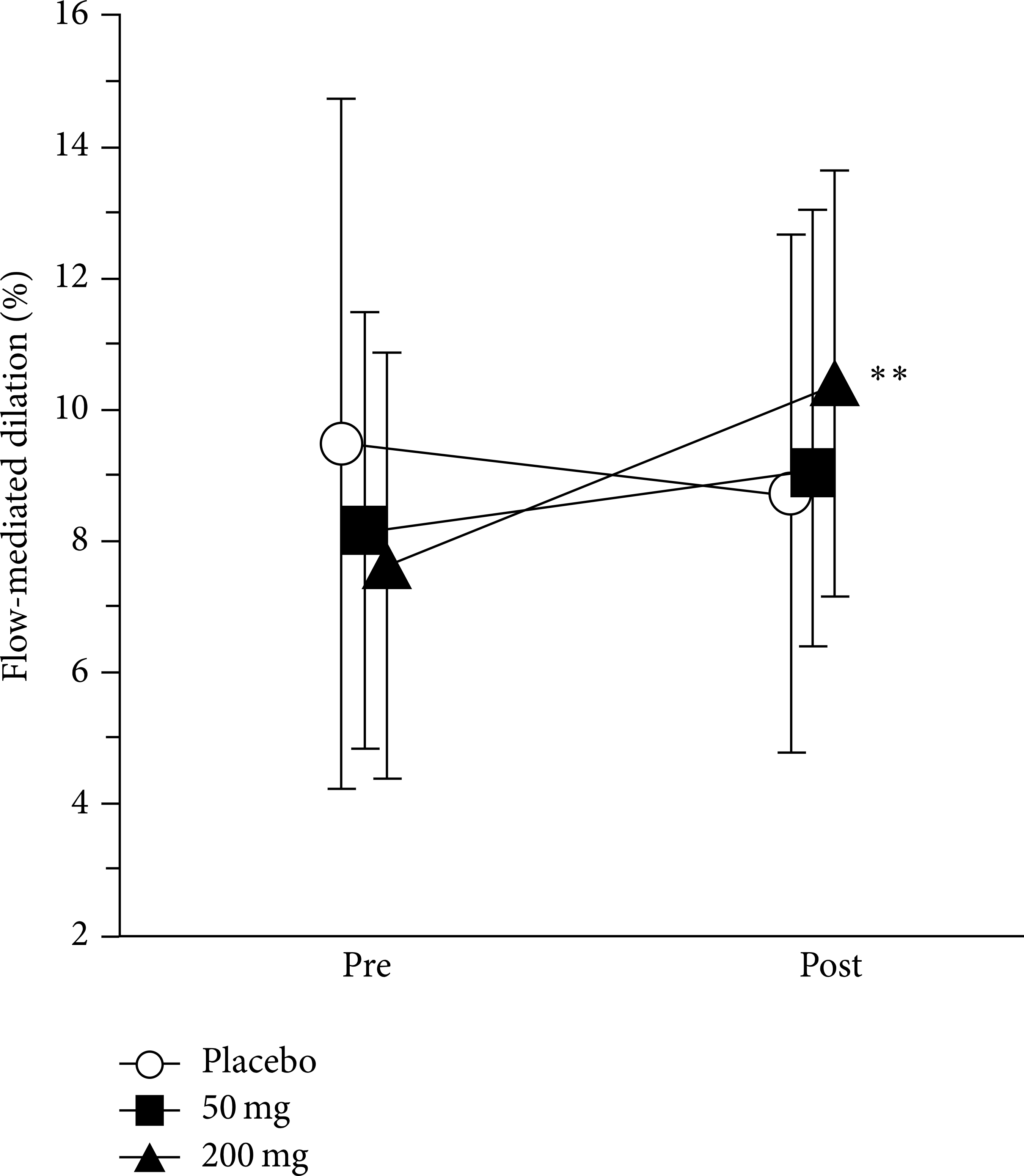
Effect of 56 day curcumin supplementation on flow-mediated dilation (%). Data are raw means and SD for the pre- (baseline) and posttesting time points. The magnitude threshold for the smallest change was 1%. The symbols indicate the likely substantial increase in the 200 mg dose, relative to placebo.
If the Spice that gives everlasting life on Dune had a name, it may very well be Curcumin. What is Curcumin? It is a component of Turmeric.
Curcumin is a bright yellow chemical produced by plants of the Curcuma longa species. It is the principal curcuminoid of turmeric, a member of the ginger family, Zingiberaceae. It is sold as a herbal supplement, cosmetics ingredient, food flavoring, and food coloring.
Curcumin
https://en.wikipedia.org/wiki/Curcumin
What makes it particularly fascinating for those of us studying the Spike and COVID, is that it has the potential to treat and/or prevent much of the damage caused by the virus and its Spike Protein. As readers of my Substack know, I believe the Spike Protein’s assault on the Endothelium is at the core of the protein’s pathogenesis.
IMPROVES ENDOTHELIAL FUNCTION
Curcumin has been found to improve endothelial function by improving Flow Mediated Dilation (FMD). I believe this can be both protective pre-exposure to the Spike Protein, and therapeutic to those who are suffering from SPED.
In apparently healthy adults, 8 weeks of 200 mg oral curcumin supplementation resulted in a clinically meaningful improvement in endothelial function as measured by FMD. Oral curcumin supplementation may present a simple lifestyle strategy for decreasing the risk of cardiovascular diseases.
Novel Form of Curcumin Improves Endothelial Function in Young, Healthy Individuals: A Double-Blind Placebo Controlled Study
https://www.hindawi.com/journals/jnme/2016/1089653/
Additionally, another study found that Curcumin increases endothelial NO availability and reduces oxidative stress. Overall endothelial function improves as well.
In healthy middle-aged and older adults, 12 weeks of curcumin supplementation improves resistance artery endothelial function by increasing vascular nitric oxide bioavailability and reducing oxidative stress, while also improving conduit artery endothelial function.
Curcumin supplementation improves vascular endothelial function in healthy middle-aged and older adults by increasing nitric oxide bioavailability and reducing oxidative stress
https://www.ncbi.nlm.nih.gov/pmc/articles/PMC5310664/
ANTI-AMYLOID PROPERTIES
As my readers also know, much has been written by myself, and many others, about the Amyloidogenic properties of the Spike Protein. I have discussed Curcumin’s anti-amyloid properties in a previous post, but it bears repeating here.
In previous studies, curcumin has been shown to suppress the aggregation and cytotoxicity of many amyloid proteins in vitro, such as amyloid ß (Aß), α-synuclein, transthyretin, and prion protein, and has also been reported to inhibit the deposition of Aß fibrils in a mouse model of Alzheimer's disease.
Curcumin for amyloidosis and lipid metabolism—a novel insight
https://medicalxpress.com/news/2021-02-curcumin-amyloidosis-lipid-metabolisma-insight.html
PROTECTS CARDIAC MITOCHONDRIA FROM CATECHOLAMINE DAMAGE
Regarding my most recent research into the mechanisms of the Spike Protein and what I believe is its induction of an acute “catecholamine storm” as well as chronic catecholamine upregulation, Curcumin appears to have a very positive protective effect on the heart’s mitochondria.
The present study was designed to characterize the mitochondrial dysfunction induced by catecholamines and to investigate whether curcumin, a natural antioxidant, induces cardioprotective effects against catecholamine-induced cardiotoxicity by preserving mitochondrial function. Because mitochondria play a central role in ischemia and oxidative stress, we hypothesized that mitochondrial dysfunction is involved in catecholamine toxicity and in the potential protective effects of curcumin. Male Wistar rats received subcutaneous injection of 150 mg·kg−1·day−1 isoprenaline (ISO- catecholamine-induced cardiotoxicity) for two consecutive days with or without pretreatment with 60 mg·kg−1·day−1 curcumin. Twenty four hours after, cardiac tissues were examined for apoptosis and oxidative stress. Expression of proteins involved in mitochondrial biogenesis and function were measured by real-time RT-PCR. Isolated mitochondria and permeabilized cardiac fibers were used for swelling and mitochondrial function experiments, respectively. Mitochondrial morphology and permeability transition pore (mPTP) opening were assessed by fluorescence in isolated cardiomyocytes. ISO treatment induced cell damage, oxidative stress, and apoptosis that were prevented by curcumin. Moreover, mitochondria seem to play an important role in these effects as respiration and mitochondrial swelling were increased following ISO treatment, these effects being again prevented by curcumin. Importantly, curcumin completely prevented the ISO-induced increase in mPTP calcium susceptibility in isolated cardiomyocytes without affecting mitochondrial biogenesis and mitochondrial network dynamic.
Catecholamine-induced cardiac mitochondrial dysfunction and mPTP opening: protective effect of curcumin
https://journals.physiology.org/doi/full/10.1152/ajpheart.00467.2011
I believe trials should be started immediately investigating the effectiveness of Curcumin for those suffering from Acute COVID, Long COVID and those with de novo cardiac/neurovascular issues.
As always, thank you to all for your support. I will continue working. I will not stop until we fully understand this protein – and find treatments. To those who say, “there is nothing to see here,” I will offer some wise words of my late mother: What is, is.



Great news! We grow turmeric
This is the best curcumin I have ever tried (no affiliation, but it is the only one I can feel working):
https://ultrabotanica.com/
Also-they sell a 4X strength one through a few online retailers. It is really good.
Thanks Walter!